Particle Technology

Dilute systems - sedimentation

Problems 5.7

Question 1.v

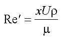
The Stokes's settling and Particle Reynolds equations are:
Stokes's law and Particle Reynolds number.gif


The Particle Reynolds number should be below some threshold for Stokes's settling equation (Stokes Law) to be applicable.


The maximum particle size at which Stokes's law is applicable for the above system is (microns):

a) 59
b) 5900
c) 127
d) 1271
Note, for the purpose of this question the velocity in Re is the terminal settling velocity Ut.

Hint Calculator Ready to move on

Home      Book download      Video solutions      Interactive problems      Problem solutions      Size Analysis Expert system