Particle Technology

Filtration

Problems 4.10

Question 2.vii

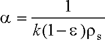
The permeability of the cake is 1.1x10-14 m2, the solid density is 2670 kg m3 and the cake can be assumed to have had a porosity of 50%.


The connection between specific resistance and permeability is

filter cake specific resistance

Permeability is like electrical conductivity - resistance is proportional to the inverse and is a constant: a fixed amount of resistance per kg of cake deposited per unit area.


The specific resistance of the cake was (m kg-1):

  a) 8.3x10-18
b) 22500
c) 2.5x10-11
d) 6.7x1010
You can see typical values of specific resistance here.

Hint Calculator Ready to move on

Home      Book download      Video solutions      Interactive problems      Problem solutions      Size Analysis Expert system